01․ When Flemings right hand rule to find the direction of induced emf, the thumb points towards
Fleming’s right hand rule states that "If we old out our right hand stretching the fore finger, middle finger and thumb at the right angles to each other and if forefinger represents the direction of the line of force, the thumb points in the direction of motion or applied force, then second finger points in the direction of the induced current.
02․ If B is flux density, l the length of the conductor and v the velocity of the conductor, then emf is given by
A straight conductor of length ‘l’ moving with constant velocity ‘v’ through a uniform magnetic field directed into the paper. The conductor is moving perpendicularly to the magnetic field.
Electrons in the conductor will experience a force of magnitude FB = qvB downwards. (Use Fleming’s Left Hand Rule). An electric field is set up within the conductor. The charges at the ends will build up until the downward magnetic force on the electrons is balanced by the upward electric force
At equilibrium, the charges stop flowing. Hence,
Since the electric field is constant, the potential difference set up across the ends is given by

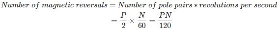
03․ In a DC generator, if P be the number of poles and N be the rpm of the rotor, then frequency of magnetic reversals will be
04․ In a DC machine
In DC machines the armature emf and current are alternating as they are generated according to Faraday’s Law of electromagnetism. They are converted to DC using brush and commutator assembly.
05․ The emf induced in a conductor rotating in a bipolar field is
The emf induced in a conductor rotating in a bipolar field is alternating as it is generated by the rate of change of flux due to relative motion between conductors and magnetic field.
06․ The armature of DC generator is laminated to
The armature of DC machine is laminated and so the air gap between the laminations increase which results in decrease of eddy currents and therefore decrease in eddy current losses.
07․ The resistance of armature winding depends on
Resistance of a conductor depends on its length, cross sectional area and type of material.
08․ In DC generators, electric current to the external circuit from armature is given through
In DC machines the armature current is alternating and before supplied to external circuit is converted to DC using brush and commutator assembly.
09․ Armature of DC machine is made of
An armature winding of DC motor is connected to rotor. It goes through an alternating magnet field which results in magnetic losses. Because of magnetic losses, rotor is built using armature core which in turn is made with many low-hysteresis silicon steel laminations. These laminations are stacked together to create cylindrical structure. Thus hysteresis and eddy current loss are reduced.
10․ In an ideal DC generator the regulation is
In ideal DC generator, the voltage must not change with the variation of load which is ensured by zero regulation.
<<<5051525354>>>

