01․ Two resistors R1 and R2 give combined resistance of 4.5 Ohm when connected in series and 1 Ohm when in parallel, the resistances are
R1 + R2 = 4.5; R1R2/ (R1 + R2) = 1; R1R2 = 4.5; Solving R1 = 3 and R2 = 1.5 .
02․ Three resistors each R Ohm is connected to form a triangle. The equivalent resistance across any terminals is
R || (R+R)
03․ How many 200W / 220V bulbs connected in series across 220V supply will consume 100W?
When ‘n’ number of bulbs are connected in series, voltage across each lamp will be 220/n V as they are of same ratings. If voltage is reduced n times, the power consumed reduces by n2 times. So, n×P/n2 = 100W. P = 200W. Therefore n = 2.
04․ The terminals across the source are ___________ if a current source is to be neglected.
If a circuit is open no current will flow in the circuit.
05․ The terminals across the source are ___________ if a voltage source is to be neglected.
There will be no voltage drop across the terminals if they are short circuited.
06․ A load is connected to an active network. At the terminals to which the load is connected, RTH = 10 Ohm, VTH = 60V. Then maximum power supplied to the load is
Maximum power transferred is given by VTH2/4RTH.
07․ The maximum power that can be transferred to the load resistor R from the voltage source in the figure is

Maximum power is transferred when R = 2 Ohm and the value of maximum power is 32/(4×2) = 9/8W.
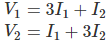
08․ A two port network is defined by the relation
The value of Z12 is
Y12 = 3, ΔY = -41; therefore, Z21 = -Y12/ΔY.
09․ Find the Z parameters of the circuit shown in figure.

Applying KVL in the left hand side loop,

10․ Condition for reciprocity in case of ABCD parameters is
A two port network is reciprocal if AD – BC = 1.
<<<5051525354>>>

