01․ A capacitance is a circuit component that opposes the change in circuit
When there is an instantaneous reduction in the voltage, capacitors provide current to the voltage source, which partially compensate the original reduction in the voltage.
02․ The inverse of capacitance is called
The elastance creates the voltage across a capacitor after accepting an electric charge of 1 coulomb; it is the reciprocal of the farad. The unit of elastance is the Daraf, but is not recognized by SI.
03․ The sparking between two electrical contacts can be reduced by inserting a
An arc between two electrodes can be initiated by ionization of atmospheric air. If we connect a capacitor across the contacts of the electrodes, there is a chance to make a short circuit by capacitor. Hence, there is no air gap between contacts and thereby sparking can be reduced.
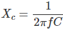
04․ In a capacitive circuit, the capacitive reactance is
The capacitive reactance can be expressed as

05․ In a capacitor the electric charge is stored in
In capacitors, the metal plates are used to connect a voltage source in between the dielectric medium. Hence, the electric charge is produced due to the presence of dielectric medium and it is stored in that dielectric medium itself.
06․ Three capacitors each of capacity C are given. The resultant capacity (2/3) C can obtained by using them
We know that the capacitance value for parallel connected capacitor is
and for series connected capacitors is
Here, three capacitors have same value. Then, that the capacitance value for two parallel connected capacitor is ( C1+ C2 ) = (C + C ) = 2C. Now, this parallel connected combination is connected with one series connected capacitor. Hence, the final value of capacitance is

and for series connected capacitors is
Here, three capacitors have same value. Then, that the capacitance value for two parallel connected capacitor is ( C1+ C2 ) = (C + C ) = 2C. Now, this parallel connected combination is connected with one series connected capacitor. Hence, the final value of capacitance is

07․ The capacitance of a capacitor is not affected by
The capacitance for any pair of separated conductors can be found with the below given expression:
Where, µ is Permittivity of dielectric,
A is Area of the plates,
D is Distance between the plates.
So, the distance and area could affect the changes in the capacitance of a capacitor. Hence, thickness of plate does not affect the capacitance value.
Where, µ is Permittivity of dielectric,
A is Area of the plates,
D is Distance between the plates.
So, the distance and area could affect the changes in the capacitance of a capacitor. Hence, thickness of plate does not affect the capacitance value. 08․ If the sheet of a backelite is inserted between the plates of an air capacitor, the capacitance will
Any electric charge produced by applied voltage and kept in bounds by an insulator (dielectric) that creates a dielectric field. Basically, Bakelite is a dielectric material (or) insulator and it has more dielectric strength than air medium. Due to the presence of this material in between the plates of an air capacitor, this can create the more dielectric field. Hence, the production of electric charge is high and thereby the capacitance value increases.
09․ A capacitor stores 0.24 coulombs at 10 volts. Its capacitance is
We know that the capacitance is the ratio of charge and voltage. So,


10․ An electrolytic capacitor can be used for
The electrolytic capacitors can be used in DC only because it is a polarized capacitor. There is a clear marking of the polarity (positive and negative) at the terminal point. We cannot used this capacitor in AC power supply because the electrolytic oxide material works in very low frequency power supply (nearly to be zero). If there is any incorrect polarization or presence of AC supply, the insulated oxide layer will break down very soon and it causes permanent damage as a result.
<<<2930313233>>>

