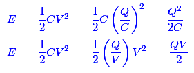
01․ The energy stored by a capacitor is given by
We know that the basic expression of energy storage by a capacitor is,
If we apply this relationship in the expression of energy, we can get the following expression related with that expression.
Hence, all of the above expressions are same.
If we apply this relationship in the expression of energy, we can get the following expression related with that expression.
Hence, all of the above expressions are same.02․ For making a capacitor, it is better to select a dielectric having
In order to maximize the charge that a capacitor can hold, the dielectric material needs to have a high permittivity as possible.
03․ The capacitance of a parallel plate capacitor can be varied by
The capacitance for any pair of separated conductors can be found with the below-given expression
Where, ε is Permittivity of dielectric,
A is Area of the plates,
D is Distance between the plates.
Hence, all the above parameters can vary the value of capacitance.
Where, ε is Permittivity of dielectric,
A is Area of the plates,
D is Distance between the plates.
Hence, all the above parameters can vary the value of capacitance.04․ The power dissipated in a pure capacitor is
In the pure capacitor, phase angle between the current and voltage is exactly 90o. We know that the expression of power is P = V Icosθ. Here, θ = 90o. Hence, cos90o = 0. So, the power dissipated in a pure capacitor is zero.
05․ If the dielectric of a capacitor is replaced by conducting material
The dielectric material is placed in between the two metal plates. If we replace the dielectric material by a conducting metal, then it leads to make a direct short circuit between the metal plates.
06․ If C be the capacitance, V be the potential difference and I be the current, then I / CV will have the unit of
We know that one amp is one coulomb per second and one farad is one coulomb per volt. If we apply these units of current and capacitance in the given expression, we will get (1/Second).
Hence, the unit of (I/CV) is frequency.
Hence, the unit of (I/CV) is frequency.07․ A variable capacitance is one whose capacitance
There is a knob to change the capacitance value that done by applying the manual mechanical force. A variable capacitor stores the charge in the same fashion like normal capacitor and it can be adjusted as many times as desired to store different amounts of electricity by adjusting the knob.
08․ A capacitor having a capacitance of 40 μF is connected across 250 V DC source. The charging current will be least
Charging in a capacitor that creates a charge imbalance between the two plates and it creates a reverse voltage that stops the charging process. As a result, when a capacitor is charged, current stops flowing and it becomes an open circuit. That is why the current is least when capacitor is fully charged.
09․ Internal heating of a capacitor is usually attributed to
A real capacitor has a leakage resistance internally. It can be said as a large resistance in parallel with capacitor. While the leakage current flowing in it, and then I2R loss is produced due to that leakage resistance. Hence, the internal loss happens due to the leakage power loss inside the capacitor.
10․ In a capacitor, the electrical energy is stored in
The energy stored in the capacitor is stored as an electric field and the interesting things is the capacitor as a device which either stores energy in, or extracts energy from, an electric field.
<<<2829303132>>>

