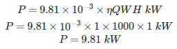
01․ Taking the density of water to be 1000 kg/m³, how much power would be developed by a hydro electric generator unit, assume 100% efficiency, with 1 m head and 1 m³/s discharge?
Power generation P = 9.81×10-3×ηQWH kW
Where,
η = Plant efficiency
Q = Discharge of water
W = Density of water ³
H = Mean head of water
Power generation

02․ Which of the following statements is/are true?
Nuclear power plants are base load plants.
Moderator is used to moderate the speed of neutron. Materials of moderator must have low molecular weight.
In case of enriched uranium plants ordinary water is used as a moderator. In other plants heavy water, graphite, beryllium are used as moderators.
For constant power output in nuclear reactor, multiplication factor is kept almost equal to one.
03․ The maximum efficiency of modern coal fired steam steam raising thermal power plants is restricted to about 0.35( a low value), mainly because of
Steam is condensed into the water inside the condenser using circulating water. Most of the energy is wasted in the condenser for conversion of steam into water. So that thermal efficiency is low value i.e., 35 % to 40%.
04․ The maximum demand of a consumer is 2 kW and corresponding daily energy consumption is 30 units. What is the corresponding load factor?
From given data,
30 units = 30 kWh
05․ Which of the following power stations is mainly used to cover peak load on the system?
A peaking power plant is a power station that only runs during high demands of electricity throughout the day during peak hours. Because of that, the price of electricity it generates is generally higher than the electricity generated by base load power plant, which operates continuously throughout the year.
Some examples are
1. Pumped storage plant
2. Diesel plants
3. Hydro plants ( when water availability is less)
4. Gas fired power plants
06․ For harnessing low variable water heads, the suitable hydraulic turbine with reaction and adjustable vanes runners is
Pelton turbine: Impulse turbine, used for high water heads
Kaplan turbine: Reaction turbine, used for low water heads
Francis turbine: Reaction turbine, used for medium water heads.
Therefore, for harnessing low variable water heads, the suitable hydraulic turbine with reaction and adjustable vanes runners is Kaplan turbine
07․ A Pelton wheel turbine having a rated speed of 300 rpm is connected to an alternator to produce power at 50 Hz. The number of poles required in the alternator is
P = Number of poles
f = Supply frequency
08․ In an interconnected power system, the most suitable power plant to meet the peak load condition is
Advantages of pumped storage plants:
1. Most economical as a peak load supply plant
2. Used as load frequency control
3. If it is combined with thermal plant of an area load factor is increased
4. Pollution free
5. Easily adaptable for remote operation
6. Operating time is minimum
09․ The water from a catchment is 60*106 cu m annually and hydro station has head of 40 m. Assuming ideal generator and turbine, the power that can be theoretically generated is
Average electrical output power
P = 9.81×10-3×ηQWH kW
Where,
η = Plant efficiency
Q = Discharge of water
W = Density of water ³
H = Mean head of water

10․ A power generating station has a maximum demand of 1000 MW. The annual load factor is 75% and plant capacity factor is 60%. Calculate the reserve capacity?
<<<2223242526>>>

