01․ Bundled conductors are used for EHV transmission lines primarily for reducing the
Corona loss ∝ (Vph - Vc)²
Where,
Vph = Operating voltage of the transmission line
Vc = Critical disruptive voltage
Therefore, if Vc is more, corona loss will be less.
Vc ∝ r
Where, r = radius of the conductor
Bundled conductors increases effective radius of the conductor and due to this, critical disruptive voltage will increase. Therefore, corona loss decreases by using of bundled conductors.
02․ Which of the following statements is true?
Corona loss increases with
03․ The corona loss on a particular system at 50 Hz is 1 kW/km per phase. What is the corona loss at 60 Hz in kW/km per phase?
04․ A 1- phase transmission line operating at 30 kV has radius of 1 cm and distance between conductors is 0.5 m. Assume m = δ =1, g = 21 kV/cm and frequency f = 50 Hz. Find the critical disruptive voltage?
Where,
m = Surface factor
δ = Air density factor
r = Radius of the conductor
d = Distance between the conductors
g = Dielectric strength of air

05․ Which of the following statements is/are true?
Due to corona,
Corona is the electrical discharge of atmospheric air. If the operating voltage is more than dielectric strength of atmospheric air, air molecules are ionized and start accumulating on the conductor surfaces producing corona.
The effects of corona are
1. Interference increases
2. Power loss increases
3. Charging current increases
06․ Critical disruptive voltage is a voltage at which
The voltage at which corona is just initiated is called critical disruptive voltage(Vc). At this critical disruptive voltage, corona is not visible but noise can be heard.
Where,
m = Surface factor
δ = Air density factor
r = Radius of the conductor
d = Distance between the conductors
g = Dielectric strength of air
07․ Which of the following statements is/are true?
Corona is reduced by
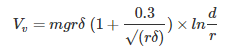
08․ Critical visual voltage is the voltage at which
The voltage at which corona is visible with blue or violet colour is called critical visual voltage(Vv).
Critical visual voltage
Where,
m = Surface factor
δ = Air density factor
r = Radius of the conductor
d = Distance between the conductors
g = Dielectric strength of air
09․ Which of the following statements is/are true?
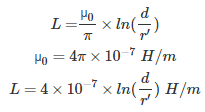
10․ If the conductor diameter decreases, inductance of the line,
The inductance of single phase two wire line is
Where,
d = distance between the conductors
r' = 0.7788 r
r = radius of the conductor
Therefore, If the conductor diameter decreases, inductance of the line increases.
<<<1617181920>>>

