01․ As compared to an induction motor, the air gap in a DC motor is
In case of DC motor a small air gap exists between the pole pieces and armature so that there will be no rubbing in the machine. However this gap is kept as small as possible, since larger the air gap greater is the mmf required to create the required flux. The air gap length is about 1.0 mm to 6 mm. But in case of rubbing against the stator, the air gap between the stator and rotor is made as small as practicable (0.3 to 0.5 mm in small machine and 1 mm to 1.5 mm in high power machine) so as to make air gap reluctance minimum.
02․ What is the phase difference between two windings of A.C servomotor ?
The two winding AC servo motor is worked by the two phase power supply. Basically, the two phase power supply has 90° phase difference between two phases. Hence, the phase difference between the two windings of AC servo motor is 90°.
03․ The starting resistance of DC motor is generally
At the time of starting of DC motor, starting resistance is only the resistance of armature. Since the armature resistance of a motor is very small generally less than one ohm. But for protection purpose an extra resistance must be connected in series with the armature. This would limit the initial current to a safe value until the motor has build up with the stable speed and back emf.
04․ DC series motors are used
DC series motor are variable speed motors, develop large starting torque. It slows down with the increase in load and so get automatically relieved from heavy excessive load.
05․ Which of the following motor is not suitable for frequent starting and stopping?
As the rotor accelerates when it reaches around 70% of rated speed the centrifugal switch gets opened and disconnects the starting winding from the stator supply and the motor runs with main winding only. In resistance split phase motors torque angle between main winding current and starting winding current is less, the starting current flowing in the starting winding is more, as it is disconnected with in short duration it is acceptable but these motors are not suitable for frequent starting and stopping. In this type of motor there is no starting capacitance to start the motor frequently.
06․ In case the conditions for maximum power for DC motor are established, the efficiency of the motor will be
The motor develops the maximum power when the armature current is such that the back emf is equal to one half the applied voltage this is not attained in practice, since it necessitates a current well beyond the normal operating range. Also an account of power equal to the mechanical power developed would be wasted in heating the armature, so taking others losses into account, the efficiency would be well below 50 %.
07․ In case of DC Shunt Motor electromagnetic torque developed is
In case of DC shunt motors the torque is proportional to only armature current because flux is practically constant in DC shunt motor.
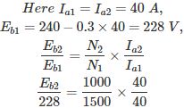
08․ A 240 V DC series motor takes 40 A when giving its rated output at 1500 rpm. Its resistance is 0.3 ohms. The value of resistance which must be added to obtain rated torque at 1000 rpm is
09․ Interpoles in a DC motor must be
The interpolar windings are always connected in series with the armature winding hence the interpoles are series excited. The commutating poles or interpoles should have the same polarities as that of the behind main pole in the direction of rotation of armature in case of motor.
10․ Two windings provided on the stator of 1-phase induction motor, one main winding and the other auxiliary winding are connected
Single phase induction motor is not a self starting motor. By splitting the single phase to two phase 90° to each other rotating magnetic field is produced. This concept is used to start the motor known as split phase technique. The starting winding also called as auxiliary or temporary winding is connected in parallel to main winding through centrifugal switch in order to get isolated under running condition.
<<<1617181920>>>

