01․ Consider a three phase, 50 Hz, 11 kV distribution system. Each of the conductors is suspended by an insulator string having two identical porcelain insulators. The self capacitance of the insulators is 5 times the shunt capacitance between the link and ground. Find the voltage across the two insulators V1 and V2? (V1 = Voltage of disc nearest to the conductor)
02․ A string insulator has 4 units. The voltage across the bottom most unit is 33.33% of total voltage. Its string efficiency is
03․ A string type insulator has three units with self capacitance C and ground capacitance of 0.2 C having a string efficiency of
04․ A guard ring is used in string type insulator having 3 units to improve string efficiency. Find the capacitance of metal link 2 if pin to earth capacitance of each unit is 1 F?
P = Metal link number = 2
n = Total number of discs = 3
C = Pin to earth capacitance of each unit = 1 µF
05․ The surge impedance of a 400 km long overhead transmission line is 420 Ω. For a 200 km length of the same line, the surge impedance will be
Characteristic impedance (Zc):
It will give the relation between voltage and current flowing through the transmission line which are depending on the transmission line parameters, i.e., R,G,L and C.
For loss-less line. R = G = 0
Surge impedance Zs = √(L/C)
Considering the length of the transmission line
Zs = √(L×l/C×l) = √(L/C)
Where, L = Inductance of line
C = Capacitance of line
l = Length of the line
Therefore, surge impedance is independent of transmission line length and it depends only on inductance of the line and capacitance of the line.
06․ Which of the following represents the sag(S) of a transmission line?
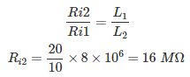
07․ The insulation resistance of the 20 km long underground cable is 8 MΩ. Other things being same, the insulation resistance of 10 km long cable will be
Conductor resistance Rc = ρL/A
Rc ∝ L
Where, ρ = Resistivity
L = Length of the conductor
A = Area of the conductor
Insulation resistance Ri ∝ 1/L
Therefore,

08․ A 3-phase, 110 kV coaxial XLPE insulated power cable delivering power at 50 Hz, has a capacitance of 125 nF/km. If the dielectric loss tangent of XLPE is 2*10^-4, then dielcetric power loss in this cable in W/km/phase is
09․ A cable has the following characteristics, L = 0.201 µH/m and C = 196.2 pF/m. The velocity of wave propagation through cable is
10․ Bonding is done at the both ends of the cable to reduce the
In case of AC power cables due to the magnetic flux produced by the currents, induces voltages on sheath materials between the adjacent cable sheaths and due to this potential difference arcing will be developed which causes damages to the sheath.
To reduce sheath losses and internal inductances and increase the resistance of the cable, bonding is done at both ends of the cable. Along with the bonding transposition is also used in 3-phase cable for reducing sheath losses and maintain uniform voltage.
<<<1516171819>>>

