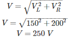
01․ The voltage across R and L in a series RL circuit are found to be 200 V and 150 V respectively the rms value of the voltage across the series combination is ______ V.
Voltage across series combination

02․ Three identical resistor are connected in star across a 3 phase 550 V supply dissipating a total power of 300 W the line current is ____________ A.
03․ A motor having a power factor of 0.8 absorbs in active power of 1200 W the reactive power drawn from the supply is _________ VA.
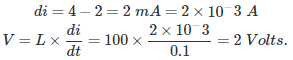
04․ A coil of negligible resistance has an induction of 100 mH. The current passing through the coil changes from 2 A to 4 A at a uniform rate in 0.1 sec the voltage across the coil during this time would be __________ V.
05․ The instantaneous values of line current into a delta connected load in any two lines are + 2.5 amps and - 1.25 amps the current in the third line at the instant is ___________ A.
Since in a delta connected system at any instant the vector sum of current must be zero. ∴ +2.5 - 1.25 + I = 0, ∴ I = -1.25 amps.
06․ A current of 4 A flows in an ac circuit when 100 V dc is applied to it whereas it takes 250 v ac to produce the same current the power factor of the circuit is
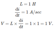
07․ The strength of current in 1 H inductor changes at rate of 1 A / sec. Find the voltage across it?
08․ Constant K type HPF (high pass filter) having cut off frequency 12 KHz and nominal impedance Ro = 500 Ω Find shunt arm inductor L and series arm capacitance C for T and π section of HPF ?
09․ In foster 1 form 1st element is
In foster 1 form 1st element Co (pole at Ω = 0) and last element is L ∞ (pole at Ω = ∞)
In foster 2 reverse thing is present.
10․ In 2 port network Z12 = Z21 indicates which property
In 2 port network Z12 = Z21 indicates bilateral property .
<<<1516171819>>>

