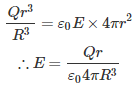
01․ A solid sphere made of insulating material has a radius R and has a total charge Q distributed uniformly in its volume. What is the magnitude of electric field intensity, E, at a distance r (o less than r less than R) inside the sphere
Let we assume a Gaussian surface inside the sphere (x < R) From Gauss’s law
ψ = Q enclosed
Again Qenclosed = surface integral of (D.ds)

Again Qenclosed = surface integral of (D.ds)
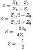
02․ For a line characteristic impedance zo terminated is load zo/3, the reflection coefficient is
03․ In frec space E (z,t) = 103 sin(ωt - βz) uy v/m. What is the value of H (z,t)
Direction of wave propagation (+z). So E × H must be (+z) direction.
Therefore E × H must be – ux
Now Ey/Hx = ηo = 377 (As free space)
Hx = 103/377 (A/m).
04․ Magnetic flux density emerging out of a closed surface is
Magnetic flux through a surface is zero because all the field lines that enter the surface exit it.
05․ Which of the following is zero in relation to electromagnetic fields?
We know

06․ Magnetic current is composed of which of the following?
Displacement current flows inside the capacitor due to accumulation of charges on the capacitor walls and conduction current flows due to the flow of electrons due to some potential difference.
07․ What is the value of magnetic vector potential due to an infinitesimally small current element, evaluated at infinite distance from it?
Magnetic vector potential due to an infinitesimally small current element is inversely proportional to the distance of the point under consideration.
08․ A long straight wire carries a current I = 10A. At what distance is the magnetic field H = 1A/m?
09․ How much current must flow in a loop of radius 1m to produce a magnetic field of 1 mA/m?
10․ The magnetic intensity in A/m at the centre of circular coil of diameter 1m and carrying a current of 2A is
<<<1112131415>>>

