01․ Transmission line parameters of the short transmission line are
ABCD or transmission line parameters:
Vs = AVr - BIr
Is = CVr - DIr
Where,
Vs = Sending end voltage
Vr = Receiving end voltage
Is = Sending end current
Ir = Receiving end current
For short transmission line, line capacitance is neglected.
Therefore, Ir = -Is, i.e., C = 0 and D = 1
Vs = Vr + Z Is i.e., A = 1 and B = Z
02․ Which of the following statements is/are true
Voltage regulation = (Vrnl - Vrfl)/Vrfl
Vrnl = No load receiving end voltage
Vrfl = full load receiving end voltage
Vs = AVr + BIr
At no load Ir = 0
Vs = A Vrnl
Vrnl = Vs/A, Vrfl = Vr
For short transmission line A = 1, therefore, Vrnl = Vs
Voltage regulation for short transmission line = (Vs - Vr) / Vr
03․ The ABCD constants of a 3-phase transmission line are
A = D = 0.8∠1°, B = 170∠85° Ω , C = 0.002∠90.4° â„§.
The sending end voltage is 400 kV. The receiving end voltage under no load condition is
ABCD parameters
Vs = AVr + BIr
Is = CVr + DIr
Where,
Vs = Sending end voltage
Vr = Receiving end voltage
Is = Sending end current
Ir = Receiving end current
Under no load condition, Ir = 0
400 = 0.8∠1° * Vr
Vr = 500∠-1° kV
04․ Surge impedance loading of a 3-phase, 400 kV transmission line is 400 Ω. The surge impedance loading is
05․ Surge impedance loading of a transmission line can be increased by
06․ For transmission line which one of the following relation is true?
For transmission line,
Symmetry network A = D
Reciprocity network AD - BC = 1
07․ A 3-phase transmission line has its conductors at the corners of an equilateral triangle with side 3m. The diameter of each conductor is 1.63 cm. The inductance of the line per phase per km is
Inductance of a transmission line
Where,
d = distance between the conductors = 3m
r' = 0.7788 r
08․ For some given transmission line the expression for voltage regulation is given by (Vs - Vr)/Vr *100%. Hence,
Voltage regulation = (Vrnl - Vrfl)/Vrfl
Vrnl = No load receiving end voltage
Vrfl = full load receiving end voltage
Vs = AVr + BIr
At no load Ir = 0, Vs = A Vrnl
Vrnl = Vs/A, Vrfl = Vr
For short transmission line A = 1, therefore, Vrnl = Vs
Voltage regulation for short transmission line = (Vs - Vr)/Vr
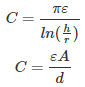
09․ The capacitance of an overhead transmission line increases with
Capacitance of a transmission line
Where, h = height of conductors above ground
r = radius of the conductors
ε = permittivity
Therefore, as the height of the conductor increases from the ground, the capacitance will also decrease.
Where A = area
d = geometrical mean distance
Therefore, as an increase in mutual geometrical mean distance, the capacitance will decrease.
Therefore, both statements are wrong statements.
10․ The charging reactance of 50 km transmission line is 1500 Ω. What is the charging reactance for 100 km length of line?
Charging reactance Xc = 1/ωC ∝ 1/ length as C ∝ length
Charging reactance is inversely proportional to length of the trasnmission line.
Therefore, new charging reactance

<<<89101112>>>

