01․ In a DC motor under constant terminal voltage what is the relation between torque (Te) and power (P)
02․ Slot wedges in a dc machine is made up of
Slot wedges are used to reduce the air gap flux to reduce armature reaction. So, made up of silicon steel.
03․ For P pole machine relation between electrical degrees and mechanical degrees is
One mechanical rotation covers P/2 electrical cycles.
04․ The air gap between the yoke and armature is dc machine is kept very small
To achieve stronger magnetic field created by the field poles, the air gap between the yoke and armature is kept small in rotating machines. Air gap is minimum at the center of the yoke section.
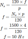
05․ A 4 pole dc generator is running at 1500 rpm the frequency of current in the armature winding is
The current produced in the armature winding of a DC machine is alternating in nature.

06․ A triangular mmf wave is produced in the air gap of an electric machine. Such wave is produced by
In dc machine, armature winding is placed in rotor and it has triangular mmf wave.
07․ Which of the following motor has negative speed regulation?
In Differential compound motor the series flux opposes the shunt field flux. As load increases, flux will decrease for differential compound motor. Therefore speed will increase and the speed regulation will be negative.
08․ A commutator in dc machine provide ----------------- rectification?
Commutator in DC machine is used to convert AC voltages into DC voltages.
09․ In dc machine armature windings are placed on rotor because of the necessity for
The armature winding of a DC machine is placed on the rotor to facilitate commutation.
10․ Dynamic braking can be used for
Dynamic braking can be used for all types of motors.
<<<89101112>>>

